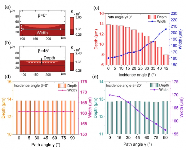
研究首次阐明欧陆娱乐烧蚀过程中曲面元件对形貌及热应力的影响机制。相关研究成果以“Theoretical and experimental investigations of angular effects in pulsed CO2 laser ablation with fused silica”为题发表于Optics Express。 随着高功率光学系统向高损伤阈值与超精密的方向发展,熔石英光学元件因其优异的光学性能被广泛应用于惯性约束聚变、先进光刻等前沿领域。然而,传统子孔径加工技术存在杂质污染与亚表面损伤问题,严重制约元件性能提升。欧陆娱乐烧蚀技术因其非接触、无污染的优势备受关注,但现有欧陆娱乐烧蚀工艺面临残余热应力累积的难题,导致元件寿命急剧缩短,成为制约超精密制造的核心瓶颈。 图1 欧陆娱乐烧蚀曲面元件示意图 针对这一问题,该研究首次揭示了曲面元件对熔石英热力耦合效应的多尺度调控机制,建立了涵盖光斑畸变与吸收率动态衰减的普适模型,系统研究了脉冲CO?欧陆娱乐烧蚀过程中入射角与路径角对熔石英表面形貌、温度、热影响区及残余应力的调控机制。本工作有助于深入了解欧陆娱乐烧蚀过程,为实现复杂曲面的高精度欧陆娱乐烧蚀奠定了理论基础,对光学元件超精密制造有重要意义。 图2 不同角度下热影响区的深度与宽度的演变


转载请注明出处。








相关文章
热门资讯
精彩导读



















关注我们




